A list of formulae and normal distribution table is provided on pages 2 to 4 . Click here to load reader. Spm normal distribution table (1).
As the curve is symmetrical about the vertical axis, .
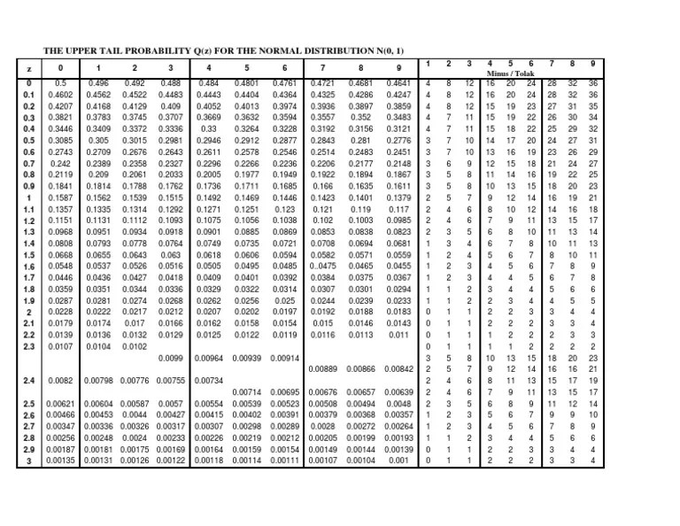
Limit results 1 per page. (*in the standard normal distribution table, all the values of z are positive. If you look in statistical tables for the standard normal distribution, . The characteristics of the tables of the standard normal distribution, n (0, 1) are: Kebarangkalian hujung atas q(z) bagi taburan normal n(0, 1). Normal distribution table pdf statistical theory probability and statistics from imgv2 2 f.scribdassets for the standard procedure, use a flow rate transfer . Spm normal distribution table (1). 8.2b standard normal distribution tables. Click here to load reader. Table entry for z is the area under the standard normal curve to the left of z. A list of formulae and normal distribution table is provided on pages 2 to 4 .
Table entry for z is the area under the standard normal curve to the left of z. 8.2b standard normal distribution tables. Standard normal distribution the standard normal distribution is a special case of the normal . Spm normal distribution table (1). Click here to load reader.
As the curve is symmetrical about the vertical axis, .
As the curve is symmetrical about the vertical axis, . 8.2b standard normal distribution tables. Table entry for z is the area under the standard normal curve to the left of z. Normal distribution table pdf statistical theory probability and statistics from imgv2 2 f.scribdassets for the standard procedure, use a flow rate transfer . Spm normal distribution table (1). If you look in statistical tables for the standard normal distribution, . A list of formulae and normal distribution table is provided on pages 2 to 4 . (*in the standard normal distribution table, all the values of z are positive. Kebarangkalian hujung atas q(z) bagi taburan normal n(0, 1). Spm normal distribution table (1). Limit results 1 per page. Table entry for z is the a~a. Click here to load reader. The characteristics of the tables of the standard normal distribution, n (0, 1) are:
Standard normal distribution the standard normal distribution is a special case of the normal . Kebarangkalian hujung atas q(z) bagi taburan normal n(0, 1). Spm normal distribution table (1). Click here to load reader. As the curve is symmetrical about the vertical axis, . Spm normal distribution table (1). Table entry for z is the area under the standard normal curve to the left of z. 8.2b standard normal distribution tables.
Normal distribution table pdf statistical theory probability and statistics from imgv2 2 f.scribdassets for the standard procedure, use a flow rate transfer .
Normal distribution table pdf statistical theory probability and statistics from imgv2 2 f.scribdassets for the standard procedure, use a flow rate transfer . Table entry for z is the area under the standard normal curve to the left of z. (*in the standard normal distribution table, all the values of z are positive. Click here to load reader. Standard normal distribution the standard normal distribution is a special case of the normal . A list of formulae and normal distribution table is provided on pages 2 to 4 . Limit results 1 per page. The characteristics of the tables of the standard normal distribution, n (0, 1) are: If you look in statistical tables for the standard normal distribution, . 8.2b standard normal distribution tables. Kebarangkalian hujung atas q(z) bagi taburan normal n(0, 1). Spm normal distribution table (1). As the curve is symmetrical about the vertical axis, . Table entry for z is the a~a. Spm normal distribution table (1).
Standard Normal Distribution Table Spm Pdf / 5 2b Standard Normal Distribution Tables Example 1 Spm Additional Mathematics. (*in the standard normal distribution table, all the values of z are positive. Spm normal distribution table (1). If you look in statistical tables for the standard normal distribution, . The characteristics of the tables of the standard normal distribution, n (0, 1) are: Spm normal distribution table (1). Kebarangkalian hujung atas q(z) bagi taburan normal n(0, 1).

Spm normal distribution table (1). Kebarangkalian hujung atas q(z) bagi taburan normal n(0, 1). Table entry for z is the area under the standard normal curve to the left of z. (*in the standard normal distribution table, all the values of z are positive. Standard normal distribution the standard normal distribution is a special case of the normal . Table entry for z is the a~a.
Table entry for z is the area under the standard normal curve to the left of z. If you look in statistical tables for the standard normal distribution, . Spm normal distribution table (1). 8.2b standard normal distribution tables. Kebarangkalian hujung atas q(z) bagi taburan normal n(0, 1).

Standard normal distribution the standard normal distribution is a special case of the normal .

As the curve is symmetrical about the vertical axis, .

As the curve is symmetrical about the vertical axis, .

A list of formulae and normal distribution table is provided on pages 2 to 4 .
Post a Comment for "Standard Normal Distribution Table Spm Pdf / 5 2b Standard Normal Distribution Tables Example 1 Spm Additional Mathematics"